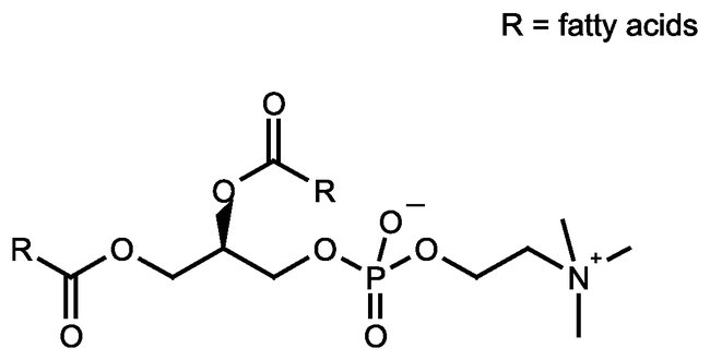
Lecithin, 90%, soybean, Each
$ 42.61
|
|
Details:
Lecithin is used as a dietary supplement, food ingredient, and food additive. It is also used as a liquid carrier for plastics additives, dyes or pigments. Its primary functions are as an emulsifier, antioxidant, and release agent.
Additional Information
| SKU | 10091614 |
|---|---|
| UOM | Each |
| UNSPSC | 12352200 |
| Manufacturer Part Number | J6167518 |
| CAS Number | 8002-43-5 |
| HS Code | 2923900000 |
|---|---|
| UN Number | UN2810 |
| Proper Shipping Name | LECITHINS |
| Packaging Group | II |
| Hazardous Class | 6.1 |
| Label | ![]() |
| Molecular Formula | C42H80NO8P |
| EC Number | 232-307-2 |
| HIN | 66 |
| Hazard Statement | H302-H315-H319-H331-H336-H351-H361d-H372-H225 |
| Precautionary Statements | P201-P261-P304+P340+P312-P305+P351+P338-P308+P313-P403+P233-P210-P280-P337+P313-P403+P235 |
| Risk Statements | 11-48/20/22-40-38-22-36/37/38-46-45-48/20/21/22-36/38-20/22-63-67-65-62-51/53-48/20 |
| GHS | GHS06,GHS08,GHS02,GHS07 |
| GHS (Pictogram) | ![]() ![]() ![]() ![]() |
| Safety Statements | 7-16-24/25-36/37-45-36/37/39-26-53-62-61-22 |
| Hazard Code | T,Xn,F,N |
| Signal Word | Danger |





