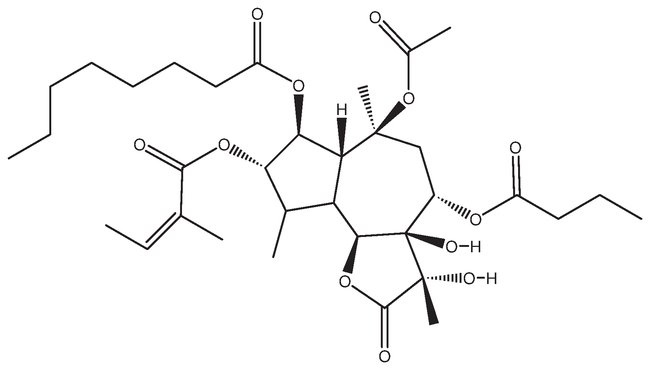
Thapsigargin, 95%, Each
$ 172.15
|
|
Details:
Thapsigargin- induces down regulation of the EGF receptor is independent of protein kinase C activation. It is also used as an inducer of stored Ca2 release.
Additional Information
| SKU | 10092400 |
|---|---|
| UOM | Each |
| UNSPSC | 12161500 |
| Manufacturer Part Number | J62866MCR |
| CAS Number | 67526-95-8 |
| HS Code | 2918199000 |
|---|---|
| UN Number | UN 2811 |
| Proper Shipping Name | Thapsigargi |
| Packaging Group | PG II |
| Hazardous Class | 6.1 |
| Label | ![]() |
| Molecular Formula | C34H50O12 |
| EC Number | 614-076-3 |
| HIN | 66 |
| Hazard Statement | H315-H319-H334-H335 |
| Precautionary Statements | P261-P280a-P284-P305+P351+P338-P405-P501a |
| Risk Statements | 36/37/38-42 |
| GHS | GHS07,GHS08 |
| GHS (Pictogram) | ![]() ![]() |
| Safety Statements | 26-36/37/39 |
| Hazard Code | Xn,T |
| Signal Word | Danger |



