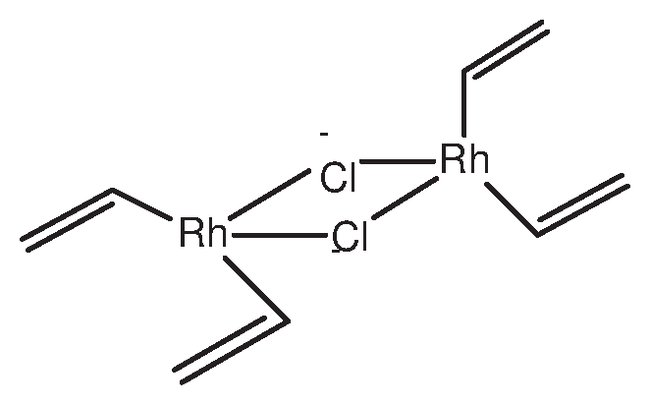
mu;-Dichlorotetraethylene dirhodium(I), Each
$ 1,146.15
|
|
Details:
µ-Dichlorotetraethylene dirhodium(I), ACROS Organics™
Additional Information
| SKU | 10116464 |
|---|---|
| UOM | 1GR |
| UNSPSC | 12352300 |
| Manufacturer Part Number | 197590010 |
| CAS Number | 12081-16-2 |
| HS Code | 2843909000 |
|---|
