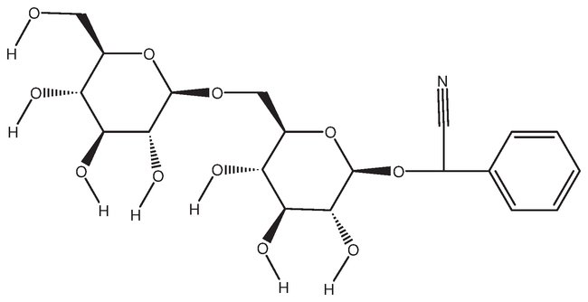
D(-)-Amygdalin hydrate, 95%, Each
$ 123.84
|
|
Details:
D(-)-Amygdalin Monohydrate 95%, ACROS Organics™
Additional Information
| SKU | 10552867 |
|---|---|
| UOM | 5GR |
| UNSPSC | 12352100 |
| Manufacturer Part Number | 104730050 |
| CAS Number | 29883-15-6 |
| HS Code | 2938909000 |
|---|---|
| UN Number | UN 2811 |
| Proper Shipping Name | Amygdali |
| Packaging Group | PG III |
| Hazardous Class | 6.1 (b) |
| Label | ![]() |
| Molecular Formula | C20H27NO11 |
| EC Number | 249-925-3 |
| Hazard Statement | H302 |
| Precautionary Statements | P264-P270-P301+P312+P330-P501-P261-P280a-P304+P340-P305+P351+P338-P405-P501a |
| Risk Statements | 22 |
| GHS | GHS07 |
| GHS (Pictogram) | ![]() |
| Safety Statements | 26-36/37/39-45-24/25 |
| Hazard Code | X |
| Signal Word | Warning |
.jpg)

