D( )-Sucrose, 99 %, for biochemistry, DNAse, RNAse and protease free, Each
$ 99.20
|
|
Details:
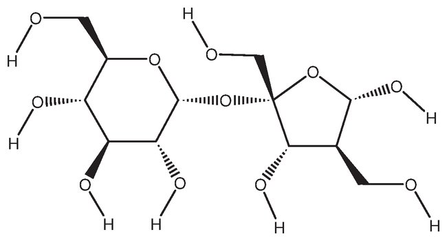
D( )-Sucrose, CAS # 57-50-1, is a disaccharide used in a variety of biochemical applications such as protein purification. It is also known as sugar, sucrose, alpha-D-glucopyranoside, and D-( )-saccharose.
Additional Information
| SKU | 1065440 |
|---|---|
| UOM | 1KG |
| UNSPSC | 12164500 |
| Manufacturer Part Number | 419760010 |
| CAS Number | 57-50-1 |
| HS Code | 1701991000 |
|---|---|
| UN Number | NULL |
| Proper Shipping Name | SUCROSE |
| Molecular Formula | C12H22O11 |
| EC Number | 200-334-9 |
| Risk Statements | 36/37/38 |
| Safety Statements | 24/25-37/39-26 |
| Hazard Code | Xi |
