Dextran Sulfate Sodium Salt, Colitis Grade (36,000 to 50,000), MP Biomedicals, Induces severe colitis (inflammatory bowel disease) in laboratory animals, Each
|
|
Details:
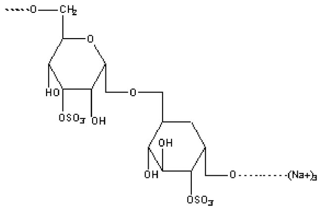
Induces severe colitis (inflammatory bowel disease) in laboratory animalsDextran sulfate sodium salt, or DSS, is a synthetic sulfated branched polysaccharide derivative of dextran that has multiple uses in biomedical and clinical research. One important property of DSS is to trigger colitis in mice and rats when administered in drinking water. DSS binds to medium-chain-length fatty acids in the colon and induces intestinal inflammation. Colitis-grade DSS (MW = 36,000 to 50,000) from MP Bio is one of the most widely used products based on peer reviewed scientific publications.Induces severe colitis (inflammatory bowel disease)Highest sulfur content – 19%Highest chirality - 104° of specific rotationLowest pH – 6.2 at 1% solutio
Additional Information
| SKU | 10141351 |
|---|---|
| UOM | Each |
| UNSPSC | 12352200 |
| Manufacturer Part Number | 0216011080 |
| CAS Number | 9011-18-1 |
| HS Code | 3913900000 |
|---|---|
| UN Number | UN3077 |
| Proper Shipping Name | DEXTRAN SULFATE SODIUM SALT, 8000 M.WT, 100G |
| Molecular Formula | (C6H7Na3O14S3)n |
| EC Number | 618-471-1 |
| HIN | 90 |
| Risk Statements | 20/21/22-36/37/38 |
| Safety Statements | 26-36-37/39-24/25 |
| Hazard Code | Xi,Xn |
