Web Analytics
518-831-8000 sales@utechproducts.com

NFkB p65 (Total/Phospho) Human InstantOne ELISA Kit, InstantOne ELISA, Each

1,206.90

Details:

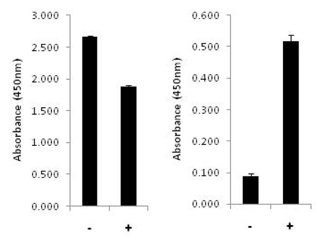
The InstantOne™ ELISA is specifically engineered for accurate measurement of total and phosphorylated human NFkB p65 in cell lysates. Detection of mouse and rat NFkB is expected. The InstantOne™ ELISA kit allows for fast analysis of samples in approximately one hour. All reagents used in a traditional sandwich ELISA are added in solution to a plate followed by a wash step and detection with the TMB colorimetric substrate.NF-kappaB (Nuclear Factor kappa B) is a nuclear transcription factor found in all cell types and is involved in cellular responses to stimuli such as stress, cytokines, free radicals, ultraviolet irradiation, and bacterial or viral antigens. NF-kappaB plays a key role in regulating the immune response to infection. Consistent with this role, incorrect regulation of NF-kappaB has been linked to cancer, inflammatory and autoimmune diseases, septic shock, viral infection and improper immune development. There are five members in the NF-kappaB family: NF-kappaB1, NF-kappaB2, RelA (also named p65), RelB, and c-Rel. The most common form of NF-kappaB is the p50/RelA heterodimer, although other forms of NF-kappaB dimers, such as p50/p50, p52/p52, p52/RelA, p50/c-Rel, c-Rel/c-Rel, p52/RelB, and p50/RelB, have also been identified in some types of cells. The primary role of NF-kappaB is to maintain normal cellular functions that range from cell-to-cell communication to cell motility, cell cycle progression, and cell lineage development. The activity of NF-kappaB is tightly regulated by interaction with inhibitory IkappaB proteins.

Additional Information

SKU 1496556
UOM Each
UNSPSC 41116158
Manufacturer Part Number 858608311