Web Analytics
518-831-8000 sales@utechproducts.com

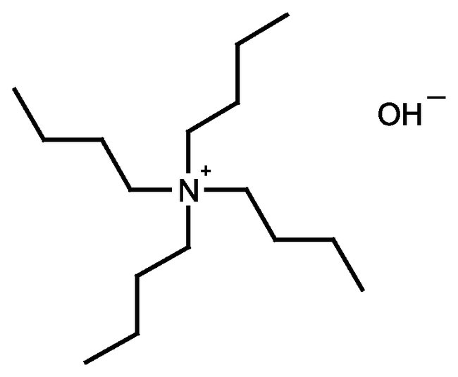
Tetrabutylammonium hydroxide, 40 wt.% solution in methanol, Each

238.07

Details:

Phase transfer catalyst

Additional Information

SKU 1339818
UOM 100ML
UNSPSC 12352302
Manufacturer Part Number 366321000
CAS Number 2052-49-5
Schedule B Number 3822.00.0002
HS Code 2923900000
UN Number UN 3267
Proper Shipping Name Tetrabutylammonium hydroxide
Packaging Group PG II
Hazardous Class 3
Label
Molecular Formula C16H37NO
EC Number 218-147-6
Hazard Statement H314-H317
Precautionary Statements P210-P260-P280-P301+P310-P305+P351+P338-P310-P201-P202-P233-P240-P241+P242+P243-P264-P270-P271-P301+P330+P331+P310-P303+P361+P353+P310+P363-P304+P340+P310-P305+P351+P338+P310-P307+P311-P403+P233-P405-P501-P260h-P301+P330+P331-P303+P361+P353-P501a-P309-P301+P310a
Risk Statements 34-36/38-23/24/25-11-67-39/23/24/25-36-65-63-38-48/20-35-20/21/22-10-68/20/21/22
GHS GHS05,GHS07
GHS (Pictogram)
Safety Statements 7-16-26-36/37/39-45-36/37-62-27
Hazard Code C,T,F,X
Signal Word Danger