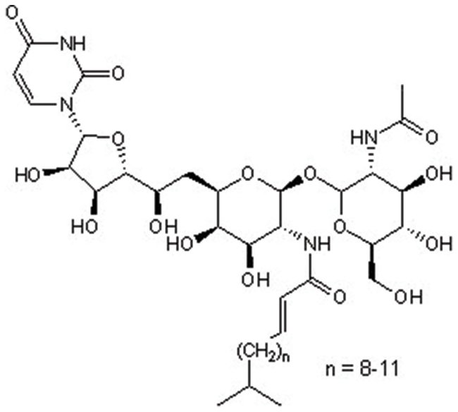
Tunicamycin, Each
$ 385.55
|
|
Details:
Antibiotic; GlcNAc phosphotransferase inhibitor
Additional Information
| SKU | 10523345 |
|---|---|
| UOM | Each |
| UNSPSC | 41106620 |
| Manufacturer Part Number | 3516/10 |
| CAS Number | 11089-65-9 |
| HS Code | 2941909000 |
|---|---|
| UN Number | UN 3462 |
| Proper Shipping Name | TUNICAMYCIN |
| Packaging Group | PG II |
| Hazardous Class | 6.1 (a) |
| Label | ![]() |
| Molecular Formula | C37H60N4O16 |
| EC Number | 601-012-4 |
| HIN | 66 |
| Hazard Statement | H300 |
| Precautionary Statements | P210e-P261-P280a-P301+P312a-P304+P340-P501a-P301+P310a-P320-P330-P405-P264-P301+P310 |
| Risk Statements | 28 |
| GHS | GHS06 |
| GHS (Pictogram) | ![]() |
| Safety Statements | 28-37/39-45 |
| Hazard Code | T+,T |
| Signal Word | Danger |
.jpg)

