UTP Solution, Tris buffered, UTP, Tris buffered is highly stable nucleotide with ≥99% purity used in many molecular biology applications, Each
|
|
Details:
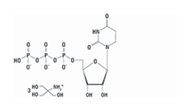
Thermo Scientific UTP (uridine 5'-triphosphate), Tris buffered is an extremely stable nucleotide, supplied as 100 mM aqueous solution titrated to pH 7.3-7.5 with Tris base. The nucleotide has greater than 99% purity, is free of nuclease activities and functionally tested in in vitro transcription. HighlightsGreater than 99% purity confirmed by HPLCFree of trace contaminating nucleotides, endo-, exodeoxyribonuclease and ribonuclease activitiesHigher in vitro transcription yields using Tris buffered NTPs in comparison to NTPs, titrated with NaOHHigh stability - stable for 3 years at -20°C and after multiple freeze-thaw cyclesApplicationsin vitro transcriptionRNA amplificationsiRNA synthesisaRNA synthesisExtinction Coefficient: 10.0 x 103 M-1 x cm-1 (pH 7.0)Formula: C9H15N2O15P3
Additional Information
| SKU | 10566340 |
|---|---|
| UOM | Each |
| UNSPSC | 12161700 |
| Manufacturer Part Number | R1471 |
